最新消息:20210816 当前crifan.com域名已被污染,为防止失联,请关注(页面右下角的)公众号

【已解决】如何用方便的画平衡BST二叉树

工作和技术 crifan 8813浏览

折腾:

【问题解答】Python问题:A balanced binary search tree with 12 nodes has height

期间,此处想要用markdown画,所以搜:

markdown 如何画树

markdown – 画图 – 忧桑的小兔子 – CSDN博客

Markdown里面使用mermaid画流程图(基础) – 背对星星和月亮 – CSDN博客

而其中的markdown中的画图插件是叫做:mermaid

所以去搜:

mermaid 二叉树

怎样将二叉树漂亮的可视化? – 知乎

有多种画二叉树的方式:

  • dot文件

  • 后缀是gv

  • 命令是:dot myBinTree.gv | gvpr -c -ftree.gv | neato -n -Tpng -o binaryTree.png

  • 效果:

自平衡二叉查找树(AVL 树)

可以动态演示 二叉树的各种操作 

比如 中序遍历:

这里也有画二叉树:

BinaryTreeVisualiser – Binary Search Tree

用 Graphviz 绘制一棵漂亮的二叉树 – 南浦月

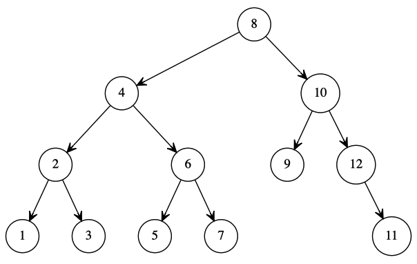
用Graphviz画二叉树:

代码:

文件:tree.dot

digraph G {
    node [shape=circle]
    edge [arrowhead=vee]
    8 -> 4
    4 -> 2
    2 -> 1
    2 -> 3
    4 -> 6
    6 -> 5
    6 -> 7
    8 -> 10
    10 -> 9
    10 -> 12
    12 -> 11
}

命令:

dot tree.dot -Tsvg -otree_0.svg

效果:

另外:

tree.g

https://gist.github.com/nanpuyue/b5950f20937f01aa43227d269aa83918

// Date:   2010-06-21
// Author: Emden R. Gansner
// From:   [[email protected]]

BEGIN {

  double tw[node_t];    // width of tree rooted at node

  double nw[node_t];    // width of node

  double xoff[node_t];  // x offset of root from left side of its tree

  double sp = 36;       // extra space between left and right subtrees

  double wd, w, w1, w2;

  double x, y, z;

  edge_t e1, e2;

  node_t n;

}

BEG_G {

  $.bb = “”;

  $tvtype=TV_postfwd;   // visit root after all children visited

}

N {

  sscanf ($.width, “%f”, &w);

  w *= 72;  // convert inches to points

  nw[$] = w;

  if ($.outdegree == 0) {

    tw[$] = w;

    xoff[$] = w/2.0;

  }

  else if ($.outdegree == 1) {

    e1 = fstout($);

    w1 = tw[e1.head];    

    tw[$] = w1 + (sp+w)/2.0;

    if (e1.side == “left”)

      xoff[$] = tw[$] – w/2.0;

    else

      xoff[$] = w/2.0;

  }

  else {

    e1 = fstout($);

    w1 = tw[e1.head];    

    e2 = nxtout(e1);

    w2 = tw[e2.head];    

    wd = w1 + w2 + sp;

    if (w > wd)

      wd = w;

    tw[$] = wd;

    xoff[$] = w1 + sp/2.0;

  }

}

BEG_G {

  $tvtype=TV_fwd;   // visit root first, then children

}

N {

  if ($.indegree == 0) {

    sscanf ($.pos, “%f,%f”, &x, &y);

    $.pos = sprintf(“0,%f”, y);

  }

  if ($.outdegree == 0) return;

  sscanf ($.pos, “%f,%f”, &x, &y);

  wd = tw[$];

  e1 = fstout($);

  n = e1.head;

  sscanf (n.pos, “%f,%f”, &z, &y);

  if ($.outdegree == 1) {

    if (e1.side == “left”)

      n.pos = sprintf(“%f,%f”,  x – tw[n] – sp/2.0 + xoff[n], y);

    else

      n.pos = sprintf(“%f,%f”, x + sp/2.0 + xoff[n], y);

  }

  else {

    n.pos = sprintf(“%f,%f”, x – tw[n] – sp/2.0 + xoff[n], y);

    e2 = nxtout(e1);

    n = e2.head;

    sscanf (n.pos, “%f,%f”, &z, &y);

    n.pos = sprintf(“%f,%f”, x + sp/2.0 + xoff[n], y);

  }

}

命令:

dot tree.dot | gvpr -c -ftree.g | neato -n -Tsvg -otree_1.svg

效果:

还有人用js去画:

shuoding/binary-tree-visualization

输入:

32
1 2 3 # # 4 # # 5 6 7 # # 8 # # #

效果:

markdown 画图 – whatday的专栏 – CSDN博客

想画二叉树、链表这样的数据结构用什么工具好呀? – V2EX

Data Structure Visualization

Binary Search Tree Visualization

AVL Tree Visualzation

参考前面的,自己去markdown中试试

mermaid 箭头 直线箭头

Markdown里面的流程图 – 背对星星和月亮 – CSDN博客

mermaid 语法 – 道隐无名 – 博客园

Hexo+Mermaid(一):记住三、四、五,玩转Mermaid流程图 | 走进IT

小书匠语法说明之mermaid | 小书匠

此处去试试:

【总结】

借用markdown中mermaid画二叉平衡树的效果:

(1)VSCode(中的插件)

```mermaid
graph TB;
1((1))==>2((2))
1((1))==>3((3))
2((2))==>4((4))
2((2))==>5((5))
3((3))==>6((6))
3((3))==>7((7))
4((4))==>8((8))
4((4))==>9((9))
5((5))==>10((10))
5((5))==>11((11))
6((6))==>12((12))
```

“`mermaid

graph TB;

1((1))==>2((2))

1((1))==>3((3))

2((2))==>4((4))

2((2))==>5((5))

3((3))==>6((6))

3((3))==>7((7))

4((4))==>8((8))

4((4))==>9((9))

6((6))==>10((10))

6((6))==>11((11))

7((7))==>12((12))

“`

效果:

节点黑色背景,无法调节,很难看。

->后记,安装了插件:

Markdown Preview Mermaid Support

之后

```mermaid
graph TB;
1((1))-->2((2))
1((1))-->3((3))
2((2))-->4((4))
2((2))-->5((5))
3((3))-->6((6))
3((3))-->7((7))
4((4))-->8((8))
4((4))-->9((9))
5((5))==>10((10))
5((5))==>11((11))
6((6))==>12((12))
```

“`mermaid

graph TB;

1((1))–>2((2))

1((1))–>3((3))

2((2))–>4((4))

2((2))–>5((5))

3((3))–>6((6))

3((3))–>7((7))

4((4))–>8((8))

4((4))–>9((9))

6((6))==>10((10))

6((6))==>11((11))

7((7))==>12((12))

“`

就可以正常显示出,效果还能接受的图了:

(2)印象笔记

```mermaid
graph TB;
  1((1))-->2((2))
  1((1))-->3((3))
  2((2))-->4((4))
  2((2))-->5((5))
  3((3))-->6((6))
  3((3))-->7((7))
  4((4))-->8((8))
  4((4))-->9((9))
  5((5))==>10((10))
  5((5))==>11((11))
  6((6))==>12((12))
```
```mermaid
graph TB;
  1((1))-->2((2))
  1((1))-->3((3))
  2((2))-->4((4))
  2((2))-->5((5))
  3((3))-->6((6))
  3((3))-->7((7))
  4((4))-->8((8))
  4((4))-->9((9))
  6((6))==>10((10))
  6((6))==>11((11))
  7((7))==>12((12))
```

效果:

(3)有道云笔记

web网页打开 有道云笔记

https://note.youdao.com/web/

参考:

怎样使用有道云笔记Markdown? – 简书

有道云笔记 – Markdown模板(文首附markdown源码,即.md文件) – 云+社区 – 腾讯云

代码:

```
graph TB;
  1((1))-->2((2))
  1((1))-->3((3))
  2((2))-->4((4))
  2((2))-->5((5))
  3((3))-->6((6))
  3((3))-->7((7))
  4((4))-->8((8))
  4((4))-->9((9))
  5((5))==>10((10))
  5((5))==>11((11))
  6((6))==>12((12))
```

“`

graph TB;

  1((1))–>2((2))

  1((1))–>3((3))

  2((2))–>4((4))

  2((2))–>5((5))

  3((3))–>6((6))

  3((3))–>7((7))

  4((4))–>8((8))

  4((4))–>9((9))

  6((6))==>10((10))

  6((6))==>11((11))

  7((7))==>12((12))

“`

效果:

都可以。

结论:

  • 有道云笔记 和 印象笔记 效果都还不错,VSCode安装了新插件Markdown Preview Mermaid Support后,也能显示出效果凑合的图了

  • 小缺点:

  • 印象笔记中 把 — 换成 == 并不能显示出粗体效果

  • 而VSCode中可以显示粗体连接

  • 都无法把箭头变成(不弯曲的)直线箭头

  • 关于更多mermaid的详细语法可参考:

    markdown – 画图 – 忧桑的小兔子 – CSDN博客

    markdown 画图 – whatday的专栏 – CSDN博客

    图方向

    • TB,从上到下

    • TD,从上到下

    • BT,从下到上

    • RL,从右到左

    • LR,从左到右

    其中:T = TOP,B = BOTTOM,L = LEFT,R = RIGHT,D = DOWN

    连线的语法:

    • 箭头连接 A1–->B1

    • 开放连接 A2—B2

    • 标签连接 A3–text—B3

    • 箭头标签连接 A4–text–>B4

    • 虚线开放连接 A5.-B5

    • 虚线箭头连接 A6-.->B6

    • 标签虚线连接 A7-.text.-B7

    • 标签虚线箭头连接 A8-.text.->B8

    • 粗线开放连接 A9===B9

    • 粗线箭头连接 A10==>B10

    • 标签粗线开放连接 A11==text===B11

    • 标签粗线箭头连接 A12==text==>B12

    graph TB
      A1-->B1
      A2---B2
      A3--text---B3
      A4--text-->B4
      A5-.-B5
      A6-.->B6
      A7-.text.-B7
      A8-.text.->B8
      A9===B9
      A10==>B10
      A11==text===B11
      A12==text==>B12

    效果:

    和:

    节点形状

    • 默认节点 A

    • 文本节点 B[bname]

    • 圆角节点 C(cname)

    • 圆形节点 D((dname))

    • 非对称节点 E>ename]

    • 菱形节点 F{fname}

    graph TB
      A
      B[bname]
      C(cname)
      D((dname))
      E>ename]
      F{fname}

    效果:

    TODO:

    有机会再去试试那个Graphviz(dot文件?)去画二叉树。

     

    转载请注明:在路上 » 【已解决】如何用方便的画平衡BST二叉树

    88 queries in 0.195 seconds, using 19.40MB memory