最新消息:20210816 当前crifan.com域名已被污染,为防止失联,请关注(页面右下角的)公众号

【整理】RMSE

Mean crifan 2507浏览
RMSE(均方根误差)、MSE(均方误差)、MAE(平均绝对误差)、SD(标准差) – 敲代码的quant的博客 – CSDN博客
https://blog.csdn.net/FrankieHello/article/details/82024526
MAE vs RMSE 如何通俗的比较两个度量? – 知乎
【总结】
  • RMSE=Root Mean Square Error=均方根误差
    • 含义:衡量观测值与真实值之间的偏差
    • 用途:常用来作为机器学习模型预测结果衡量的标准
    • 公式
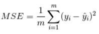
  • MSE=Mean Square Error=均方误差
    • 含义:真实值与预测值的差值的平方然后求和平均
    • 用途:通过平方的形式便于求导,所以常被用作线性回归的损失函数
    • 公式
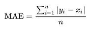
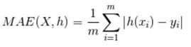
  • MAE(Mean Absolute Error)平均绝对误差
    • 含义:绝对误差的平均值
    • 用途:可以更好地反映预测值误差的实际情况
    • 公式
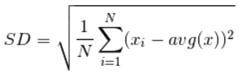
  • SD(Standard Deviation)标准差
    • 含义:方差的算术平均根
    • 用途:用于衡量一组数值的离散程度
    • 公式

转载请注明:在路上 » 【整理】RMSE

82 queries in 0.187 seconds, using 19.44MB memory