【已解决】WordPress网站更新wp-config.php后报错:Error establishing a database connection
crifan 5年前 (2021-05-09) 3409浏览
折腾: 【已解决】WordPress官网xxx.it图片等资源加载失败 期间,更新了wp-config.php中的DB_NAME和DB_USER后,去访问WordPress主页: 结果报错: Error establishing a database...
crifan 5年前 (2021-05-09) 3409浏览
折腾: 【已解决】WordPress官网xxx.it图片等资源加载失败 期间,更新了wp-config.php中的DB_NAME和DB_USER后,去访问WordPress主页: 结果报错: Error establishing a database...
crifan 6年前 (2020-06-18) 4102浏览
折腾: 【未解决】Mac中恢复crifan的gitbook的template模板环境 期间,mac安装了sshpass后,继续去运行但报错 Upload for desktop_app_framework_electron sshpass -f /U...
crifan 6年前 (2020-05-31) 5900浏览
折腾: 【未解决】Mac中再次尝试安装sshpass 期间,Mac中用berw安装期间报错: brew install https://raw.githubusercontent.com/kadwanev/bigboybrew/master/Libr...
crifan 6年前 (2020-02-26) 2066浏览
折腾: 【未解决】VSCode中调试Notebook的ipynb文件中的Python代码 期间,点击第一个按钮后,报错: Error: Jupyter cannot be started. Error attempting to locate jup...
crifan 6年前 (2020-02-24) 2545浏览
折腾: 【未解决】用vuejs搭建智能电力管理系统的前端页面 期间,先去运行服务端: cd /Users/crifan/dev/dev_root/projects/xxx/src/server/xxx/xxx java -jar target/xxx...
crifan 6年前 (2020-02-03) 2506浏览
折腾: 【未解决】mac中git push报错:error RPC failed curl 56 LibreSSL SSL_read SSL_ERROR_SYSCALL errno 54 期间,看到 git error: RPC failed; cu...
crifan 6年前 (2020-02-02) 1688浏览
新建一个自己的gitbook crifan/regex_usage_examples 然后去本地初始化 之前用了: make init 结果执行一半,就停止了。 新建了一个node_modules的软连接后,再去 make debug 结果报错: ....
crifan 6年前 (2020-01-10) 3197浏览
折腾: 【已解决】Mac中用VSCode调试java代码 期间,VSCode中调试java报错: Error: The resource: /Users/crifan/dev/dev_root/projects/�u5�/src/refer/jav...
crifan 7年前 (2019-12-01) 2542浏览
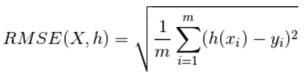
RMSE(均方根误差)、MSE(均方误差)、MAE(平均绝对误差)、SD(标准差) – 敲代码的quant的博客 – CSDN博客 https://blog.csdn.net/FrankieHello/article/de...
crifan 7年前 (2019-06-11) 4139浏览
折腾: 【未解决】Ubuntu中升级Python 3.5到最新版的Python 3.7 期间,安装python3.7的最后报错: # sudo apt-get install python3.7 Reading package lists... Do...